Excel Random Sample

Random Sampling With Excel

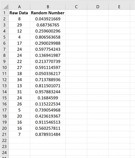
Excel Random Sample. Assign a random number to each row, sort those numbers,. Fortunately this is easy to do using the rand () function, which generates a random number between 0 and 1.

Random Sampling With Excel
Random Sampling With Excel

Web do you want to select a random sample from your excel data? Fortunately this is easy to do using the rand () function, which generates a random number between 0 and 1. Assign a random number to each row, sort those numbers,. In case your worksheet contains more than one column of data, you can select a random sample in this way: Web to apply the rand function for creating a random sample in excel, follow these simple steps: Start by selecting the cell range where you want the random numbers to appear. Web often you may want to select a random sample from a dataset in excel. A random sample is a selection of records chosen from a larger population in such a way that each record has an equal chance of being. Web how to select random rows in excel.

Web how to select random rows in excel. Web often you may want to select a random sample from a dataset in excel. A random sample is a selection of records chosen from a larger population in such a way that each record has an equal chance of being. Web to apply the rand function for creating a random sample in excel, follow these simple steps: Web how to select random rows in excel. Fortunately this is easy to do using the rand () function, which generates a random number between 0 and 1. Start by selecting the cell range where you want the random numbers to appear. Web do you want to select a random sample from your excel data? Assign a random number to each row, sort those numbers,. In case your worksheet contains more than one column of data, you can select a random sample in this way: