How To Get A Random Sample In Excel

Random Sampler for Microsoft Excel

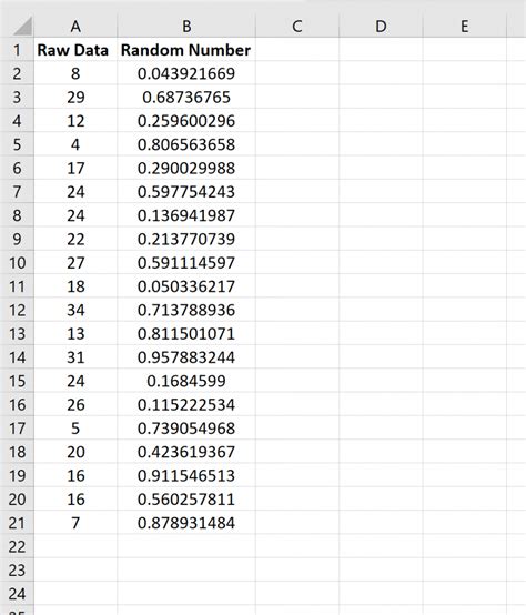
How To Get A Random Sample In Excel. Create a list of random values. Go to the ablebits tools tab > utilities group, and click randomize > select randomly:

Random Sampler for Microsoft Excel
Random Sampler for Microsoft Excel

First, enter the values of your dataset into a single column. On the ablebits tools tab, click randomize > select randomly. Go to the ablebits tools tab > utilities group, and click randomize > select randomly: Select any cell in your table. Select the from table/range query command found in the get and transform data section of the. Select the range from which you want to pick a sample. Web select a random sample with power query. Go to the data tab. Select a cell inside your table. Create a list of random values.

First, enter the values of your dataset into a single column. Go to the data tab. Select the range from which you want to pick a sample. Select a cell inside your table. On the ablebits tools tab, click randomize > select randomly. Web select a random sample with power query. First, enter the values of your dataset into a single column. Web with random generator for excel included in our ultimate suite, here's what you do: Select any cell in your table. Create a list of random values. Go to the ablebits tools tab > utilities group, and click randomize > select randomly: