Mse In Excel

Trending Forecast Formula Excel Pics Formulas

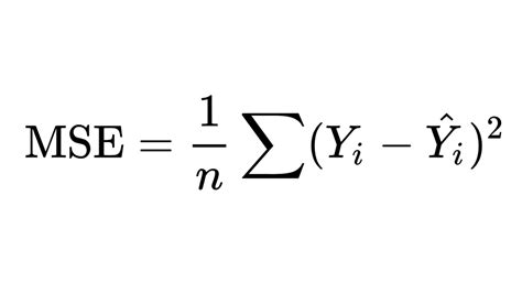
Mse In Excel. Web there are two main ways you can calculate mse in microsoft excel: The sumsq function, the average function,.

Trending Forecast Formula Excel Pics Formulas
Trending Forecast Formula Excel Pics Formulas

Web there are two main ways you can calculate mse in microsoft excel: The sumsq function, the average function,.

Web there are two main ways you can calculate mse in microsoft excel: The sumsq function, the average function,. Web there are two main ways you can calculate mse in microsoft excel: